Mechanobiology

We aim to understand how forces are generated and transmitted in cells and tissues, and how these dynamic forces control biological outcomes. To enable these measurements, we have pioneered the development of a broad range of new tools and methods for microscale measurements of cell and tissue mechanics.

 Recent Publications

Megan T. Valentine and Rae M. Robertson-Anderson, Soft Matter. 21: 5381 (2025).
Janet Sheung, Christopher Gunter, Katarina Matic, Mehrzad Sasanpour, Jennifer L. Ross, Parag Katira, Megan T. Valentine, Rae M. Robertson-Anderson. Macromol. Rapid Commun. 2401128 (2025).
Younghoon Kwon, Shambhavi Singh, Delany Rodriguez, Allison L. Chau, Angela A. Pitenis, Anthony W. De Tomaso, Megan T. Valentine. Journal of Experimental Biology. 226(24) jeb245124 (2023).
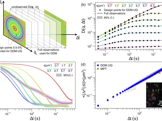
Yimin Luo, Mengyang Gu, Minwook Park, Xinyi Fang, Younghoon Kwon, Juan Manuel Urueña, Javier Read de Alaniz, Matthew E. Helgeson, Cristina M. Marchetti and Megan T. Valentine. Journal of the Royal Society Interface. 20: 20230160 (2023).
Allen P. Liu, Eric A. Appel, Paul D. Ashby, Brendon M. Baker, Elisa Franco, Luo Gu, Karmella Haynes, Neel S. Joshi, April M. Kloxin, Paul H. J. Kouwer, Jeetain Mittal, Leonardo Morsut, Vincent Noireaux, Sapun Parekh, Rebecca Schulman, Sindy K. Y. Tang, Megan T. Valentine, Sebastián L. Vega, Wilfried Weber, Nicholas Stephanopoulos & Ovijit Chaudhuri. Nature Materials 21:390–397 (2022).
Patrick A. Leggieri, Megan T. Valentine, Michelle A. O'Malley. Bioresource Technology. 358:127361 (2022)
John P. Berezney and Megan T. Valentine. Review of Scientific Instruments 93:093701 (2022).
Mengyang Gu, Yimin Luo, Yue He, Matthew E. Helgeson, and Megan T. Valentine. Phys. Rev. E 104:034610 (2021).
Bugra Kaytanli, Aimal H. Khankhel, Noy Cohen, and Megan T. Valentine. Soft Matter 16: 4192-4199 (2020).
Liam P. Dow, Aimal H. Khankhel, John Abram, and Megan T. Valentine. BioTechniques 68(5) 275-278 (2020).
Roopa Madhu, Delany Rodriguez, Claudia Guzik, Shambhavi Singh, Anthony W De Tomaso, Megan T Valentine, Dinah Loerke. Molecular Biology of the Cell 31(16), 1714-1725 (2020).
Luke Patterson, Jennifer Walker, Evelyn Rodriguez-Mesa, Kevin Shields, John Foster, Megan T. Valentine, Adele Doyle, and Kimberly Foster. Journal of Micrelectromechanical Systems 29 14-24 (2020).